If you ask for more money and the answer is no, you can still accept the job if you want it! People sometimes worry they’ll look foolish accepting at this...
In previous years, Form 1098-T included a dollar amount in Box 2 that represented the qualified tuition and related expenses (QTRE) the University billed ...
Generally, the answer to “do I have to pay taxes on a gift?” is this: the person receiving a gift typically does not have to pay gift tax. The giver, howe...
Sometimes, they disappear for a while, hiding in a safe-deposit box or a brokerage account the owner forgot about. Eventually, like unclaimed bank account...
A company can take both Section 179 and Bonus Depreciation allowances, but Section 179 must be applied first, and any amount over the $1,040,000 limit to ...
The benefits from workers’ compensation are typically not taxable in Texas. You do not need to claim the income benefits from workers’ compensation you re...
How is it Possible for Undocumented Immigrants to Buy Houses? There is no law that says non-US residents cannot own property in the United States. In fact...
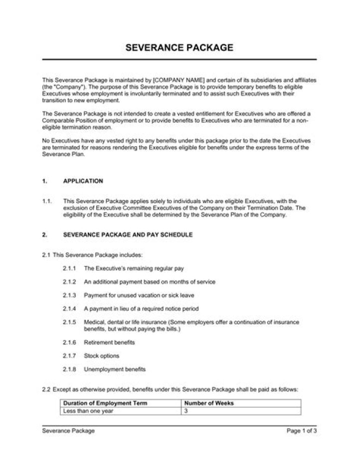
The severance pay offered is typically one to two weeks for every year worked, but can be more. If the job loss will create an economic hardship, discuss ...
3. An unincorporated association is defined as an association of two or more persons formed for some religious, educational, charitable, social or other n...
Taxability of gift to minor From the above section, it is clear that any person who receives gift of money from person or persons without consideration ex...